近日,中国科学技术大学管理学院金百锁副教授作为通讯作者与新加坡国立大学栗家量副教授在数理统计领域国际顶级期刊Annals of Statistics上发表了题为“Multi-threshold Accelerated Failure Time Model”的学术论文[2018, Vol. 46, No. 6A, 2657-2682. http://dx.doi.org/10.1214/17-AOS1632]。
该论文的主要工作是研究生存分析中的加速失效时间模型。已有的方法都是对一个加速失效模型进行整体估计和统计推断,但在实际问题中由于各种外部因素的影响,通常只用一个加速失效模型并不能很好地拟合数据并得到合理解释。该文采用门限变量对加速失效时间模型进行分类,首次提出了多门限加速失效模型,在算法上提出了两步多门限同时估计方法,并在理论上给出了参数估计的大样本性质。多门限加速失效模型的示意图如下图所示,其中Z为门限变量,T为失效时间的对数,在生存分析中,T通常不能全部观测到。

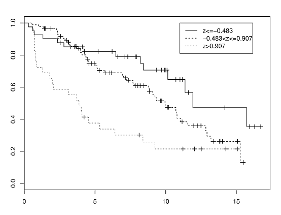
该论文把多门限加速失效模型应用到淋巴癌的数据分析中,选取了156个患者的生存数据以及基因数据,采用基因357作为门限变量对生存模型分组,发现可以分成三个组,这三组数据的生存曲线如下图所示,横轴为生存时间(年),纵轴为生存概率。与其它方法比较,基于该论文方法得到的三组划分更加明确和合理。

根据Web of Science 数据库的统计,Annals of Statistics 近三年(2015-2017)每年发表量不足100篇,其中有国内作者的论文平均8篇/每年,占比8.33%。该研究成果是管理学院多年来实施人才政策取得的成果。基于UTD全球商学院学术排名(2015-2017),我校管理学院管理科学位列第71位。
(管理学院、科研部)